CAT, CMAT, XAT, MAT, GMAT, IIFT, SNAP, NMAT By GMAC, ATMA, IBSAT, TS ICET, AP ICET, JEMAT, MAH MBA CET, B-MAT, NIPER JEE MBA, CUSAT CAT, TISSNET, MICAT, KIITEE Management, UPES MET, Karnataka PGCET, KMAT, TANCET, IRMASAT Solved Practice Questions (QA) - Part 10
Chapter - Progressions
Difficulty Level of Questions - 1 (Out of 3)
Q. 1. Binay was appointed to Mindworkzz on the pay scale of 12000-1500-22,500. Find how many years he will take to reach the maximum of the scale.
- A. 7 years
- B. 8 years
- C. 9 years
- D. 10 years
A. 7 years
Solution:-
Q. 2. The first term of an arithmetic progression is 13 and the common difference is 4. Which of the following will be a term of this AP?
- A. 4003
- B. 10091
- C. 7881
- D. 13631
C. 7881
Solution:-
Q. 3. A number of squares are described whose areas are in G.P. Then their sides will be in
- A. A.P.
- B. G.P.
- C. H.P.
- D. Nothing can be said
B. G.P.
Solution:-
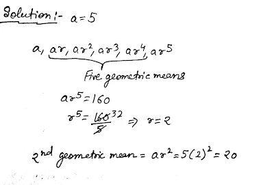
Q. 4. Four geometric means are inserted between 5 and 160. Find the 2nd geometric mean.
- A. 80
- B. 40
- C. 10
- D. 20
D. 20
Solution:-
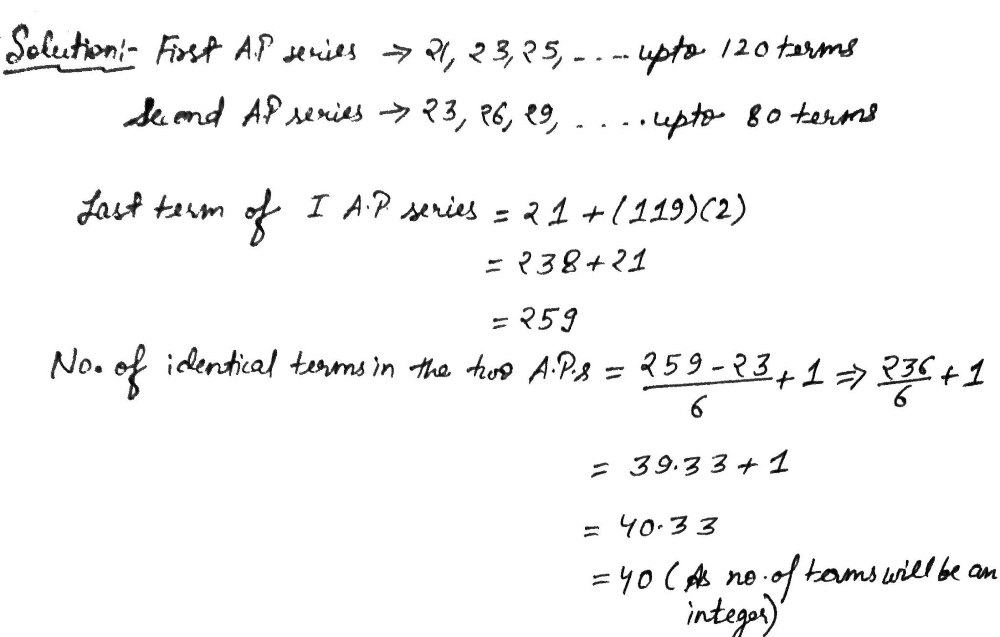
Q. 5. How many terms are identical in the two A.P.s 21, 23, 25, ....... up to 120 terms and 23, 26, 29, ....... up to 80 terms?
- A. 39
- B. 40
- C. 41
- D. None of these
B. 40
Solution:-
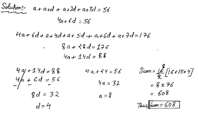
Q. 6. The sum of the first four terms of an A.P. is 56 and the sum of the first eight terms of the same A.P. is 176. Find the sum of the first 16 terms of the A.P.?
- A. 646
- B. 640
- C. 608
- D. 536
C. 608
Solution:-
Q. 7. Find the 23rd term of the sequence: 1, 4, 5, 8, 9, 12, 13, 16, 17, .......
- A. 33
- B. 39
- C. 45
- D. 43
C. 45
Solution:-
Q. 8. Find the sum of the series till 23rd terms for the series: 1, 4, 5, 8, 9, 12, 13, 16, 17, .....
- A. 585
- B. 560
- C. 540
- D. 520
C. 540
Q. 9. Tom and Jerry were playing mathematical puzzles with each other. Jerry drew a square of sides 32 cm and then kept on drawing squares inside the squares by joining the midpoints of the squares. She continued this process indefinitely. Jerry asked Tom to determine the sum of the areas of all the squares that she drew. If Tom answered correctly then what would be his answer?
- A. 2048
- B. 1024
- C. 512
- D. 4096
A. 2048
Q. 10. After striking a floor a rubber ball rebounds (5/6)th of the height from which it has fallen. Find the total distance (in metres) that it travels before coming to rest if it is gently dropped from a height of 210 metres.
- A. 2960
- B. 2310
- C. 2080
- D. 2360
B. 2310
Solution:-
Questions Courtesy: How to prepare for Quantitative Aptitude for CAT by Arun Sharma
Books I recommend for Quantitative Aptitude:
1. How to Prepare for Quantitative Aptitude for CAT by Arun Sharma
2. Ace Quantitative Aptitude For Banking and Insurance
3. Quantitative Aptitude Quantum CAT by Sarvesh K Verma
4. Quantitative Aptitude for Competitive Examinations by R.S. Aggarwal
*Self Typed
*Source- Books, Internet, Self-Analysis










