CAT, CMAT, XAT, MAT, GMAT, IIFT, SNAP, NMAT By GMAC, ATMA, IBSAT, TS ICET, AP ICET, JEMAT, MAH MBA CET, B-MAT, NIPER JEE MBA, CUSAT CAT, TISSNET, MICAT, KIITEE Management, UPES MET, Karnataka PGCET, KMAT, TANCET, IRMASAT Solved Practice Questions (QA) - Part 5
Chapter - Alligations
Difficulty Level of Questions - 1 (Out of 3)
Q.1. 800 students took the CAT exam in Delhi. 50% of the boys and 90% of the girls cleared the cut off in the examination. If the total percentage of qualifying students is 60%, how many girls appeared in the examination?
(a) 100
(b) 120
(c) 150
(d) 200
Solution:-
Q.2. Raman steals four gallons of liquid soap kept in a train compartment's bathroom from a container that is full of liquid soap. He then fills it with water to avoid detection. Unable to resist the temptation he steals 4 gallons of the mixture again and fills it with water. When the liquid soap is checked at a station it is found that the ratio of the liquid soap now left in the container to that of the water in it is 36: 13. What was the initial amount of the liquid soap in the container if it is known that the liquid soap is neither used nor augmented by anybody else during the entire period?
(a) 7 gallons
(b) 14 gallons
(c) 21 gallons
(d) 28 gallons
Solution:-
Q.3. In what ratio should water be mixed with soda costing ₹ 12 per litre so as to make a profit of 50% by selling the diluted liquid at ₹ 15 per litre?
(a) 10:1
(b) 5:1
(c) 1:5
(d) 6:1
Solution:-
Q.4. A sum of ₹ 4 is made up of 20 coins that are either 10 paise coins or 60 paise coins. Find out how many 10 paise coins are there in the total amount.
(a) 10
(b) 13
(c) 16
(d) 15
Solution:-
Q.5. Pinku a dishonest grocer professes to sell pure butter at cost price, but he mixes it with adulterated fat and thereby gains 25%. Find the percentage of adulterated fat in the mixture assuming that adulterated fat is freely available.
(a) 20%
(b) 25%
(c) 33.33%
(d) 40%
Solution:-
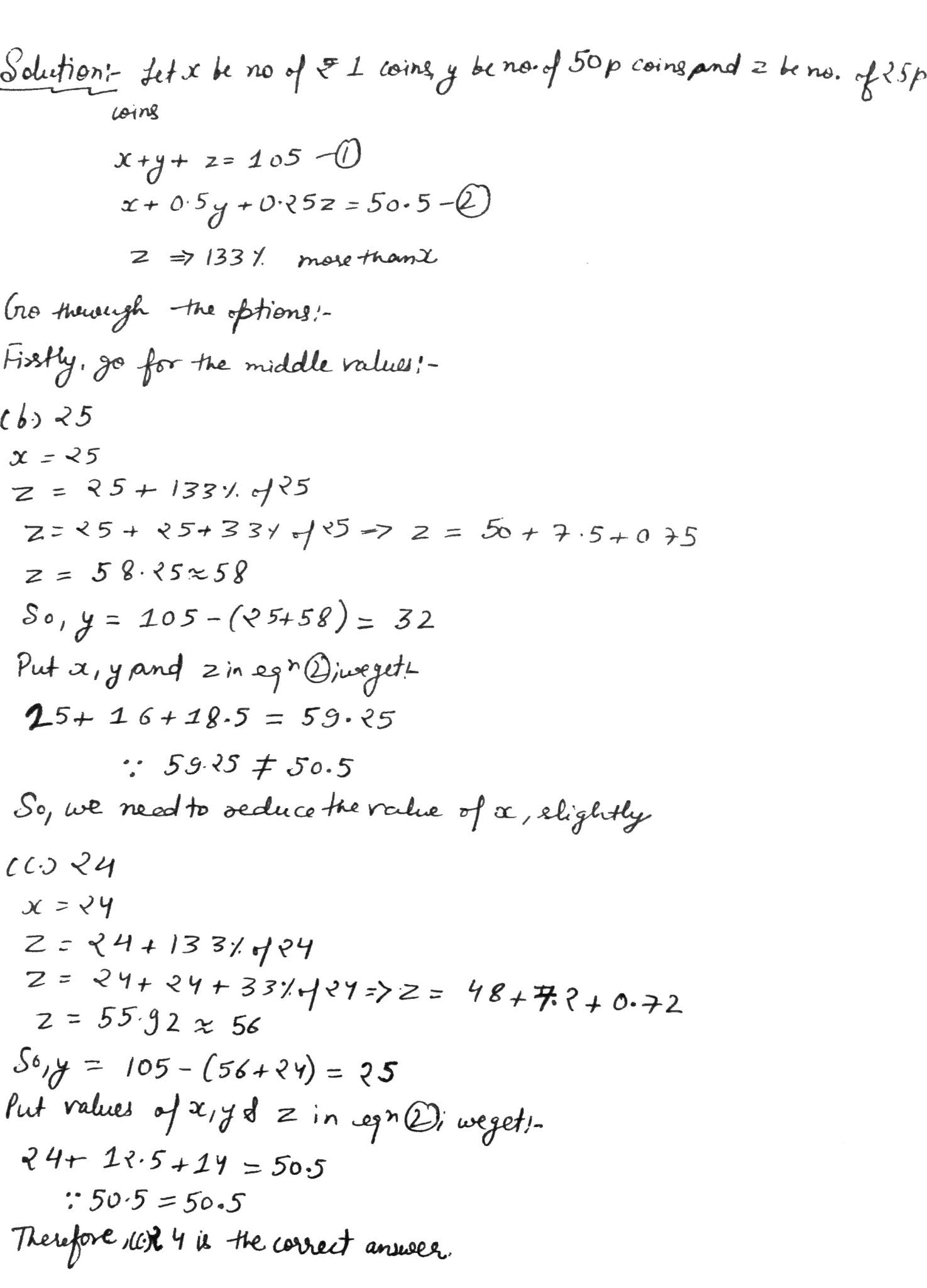
Q.6. A bag contains a total of 105 coins of ₹ 1, 50 p and 25 p denominations. Find the total number of coins of ₹ 1 if there are a total of 50.5 rupees in the bag and it is known that the number of 25 paise coins is 133.33% more than the number of 1 rupee coins.
(a) 56
(b) 25
(c) 24
(d) None of these
Solution:-
Q.7. Two buckets of equal capacity are full of a mixture of milk and water. In the first, the ratio of milk to water is 1:7 and in the second it is 3:8. Now both the mixtures are mixed in a bigger container. What is the resulting ratio of milk to water?
(a) 35:141
(b) 42:49
(c) 43:41
(d) 41:53
Solution:-
Q.8. Two vessels contain spirit and water mixed respectively in the ratio of 1:4 and 4:1. Find the ratio in which these are to be mixed to get a new mixture in which the ratio of spirit to water is 1:3.
(a) 11:1
(b) 13:1
(c) 11:2
(d) 11:3
Solution:-
Q.9. In the Delhi zoo, there are lions and there are hens If the heads are counted, there are 180, while the legs are 448. What will be the number of lions in the zoo?
(a) 36
(b) 88
(c) 44
(d) 136
Solution:-
Q.10. Sharman decides to travel 100 kilometres in 8 hours partly by foot and partly on a bicycle, his speed on foot being 10 km/h and that on a bicycle being 20 km/h, what distance would he travel on foot?
(a) 20 km
(b) 30 km
(c) 50 km
(d) 60 km
Solution:-
Questions Courtesy: How to prepare for Quantitative Aptitude for CAT by Arun Sharma
Books I recommend for Quantitative Aptitude:
1. How to Prepare for Quantitative Aptitude for CAT by Arun Sharma
2. Ace Quantitative Aptitude For Banking and Insurance
3. Quantitative Aptitude Quantum CAT by Sarvesh K Verma
4. Quantitative Aptitude for Competitive Examinations by R.S. Aggarwal
*Self Typed
*Source- Books, Internet, Self-Analysis










